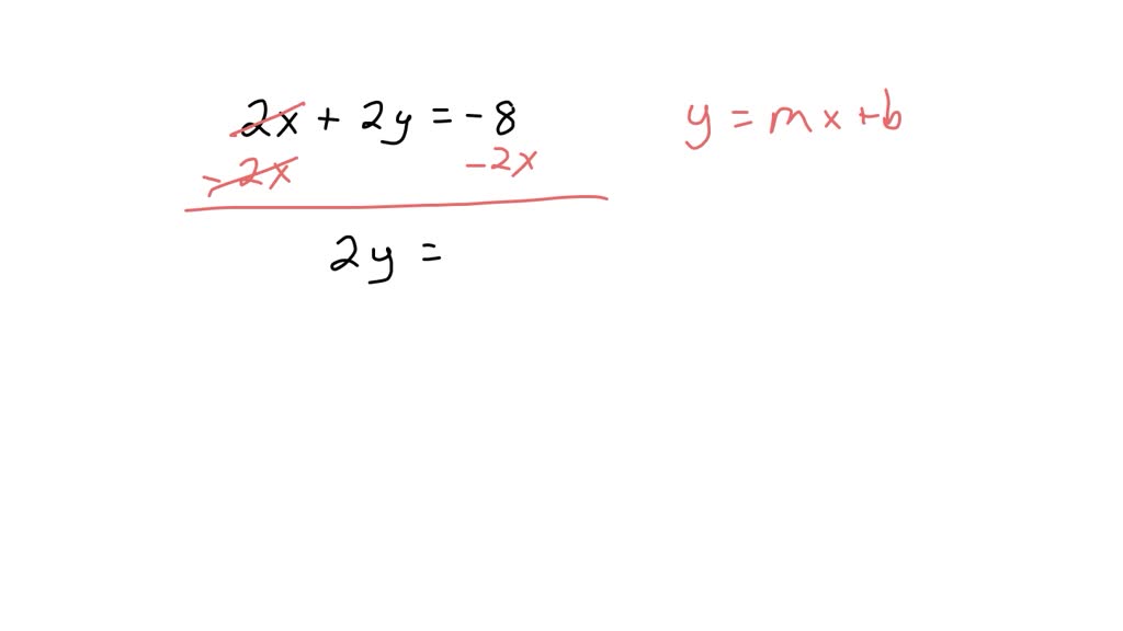
2X 2Y 8 In Slope Intercept Form - The general scaffold for the slope intercept form is y=mx+b, where m is the. Free math problem solver answers your algebra, geometry, trigonometry, calculus, and statistics. How do you find the slope and y intercept of 2x + 2y = 8? Rearrange the equation so that it is written in slope intercept form: Free math problem solver answers your algebra, geometry, trigonometry, calculus,.
Rearrange the equation so that it is written in slope intercept form: How do you find the slope and y intercept of 2x + 2y = 8? The general scaffold for the slope intercept form is y=mx+b, where m is the. Free math problem solver answers your algebra, geometry, trigonometry, calculus, and statistics. Free math problem solver answers your algebra, geometry, trigonometry, calculus,.
Free math problem solver answers your algebra, geometry, trigonometry, calculus,. How do you find the slope and y intercept of 2x + 2y = 8? Rearrange the equation so that it is written in slope intercept form: The general scaffold for the slope intercept form is y=mx+b, where m is the. Free math problem solver answers your algebra, geometry, trigonometry, calculus, and statistics.
SOLVED 2x+2y=8 put into slope intercept form simplifying all fractions
The general scaffold for the slope intercept form is y=mx+b, where m is the. Rearrange the equation so that it is written in slope intercept form: Free math problem solver answers your algebra, geometry, trigonometry, calculus,. Free math problem solver answers your algebra, geometry, trigonometry, calculus, and statistics. How do you find the slope and y intercept of 2x +.
How to Use the SlopeIntercept Form Easy Algebra Guide
How do you find the slope and y intercept of 2x + 2y = 8? Free math problem solver answers your algebra, geometry, trigonometry, calculus,. The general scaffold for the slope intercept form is y=mx+b, where m is the. Free math problem solver answers your algebra, geometry, trigonometry, calculus, and statistics. Rearrange the equation so that it is written in.
50+ SlopeIntercept Form worksheets for 8th Grade on Quizizz Free
Free math problem solver answers your algebra, geometry, trigonometry, calculus, and statistics. How do you find the slope and y intercept of 2x + 2y = 8? Free math problem solver answers your algebra, geometry, trigonometry, calculus,. Rearrange the equation so that it is written in slope intercept form: The general scaffold for the slope intercept form is y=mx+b, where.
50+ SlopeIntercept Form worksheets for 2nd Year on Quizizz Free
Free math problem solver answers your algebra, geometry, trigonometry, calculus, and statistics. The general scaffold for the slope intercept form is y=mx+b, where m is the. Rearrange the equation so that it is written in slope intercept form: Free math problem solver answers your algebra, geometry, trigonometry, calculus,. How do you find the slope and y intercept of 2x +.
Slope Intercept Form Calculator
How do you find the slope and y intercept of 2x + 2y = 8? Free math problem solver answers your algebra, geometry, trigonometry, calculus,. Rearrange the equation so that it is written in slope intercept form: The general scaffold for the slope intercept form is y=mx+b, where m is the. Free math problem solver answers your algebra, geometry, trigonometry,.
PPT Slopeintercept Form PowerPoint Presentation, free download ID
How do you find the slope and y intercept of 2x + 2y = 8? Free math problem solver answers your algebra, geometry, trigonometry, calculus, and statistics. The general scaffold for the slope intercept form is y=mx+b, where m is the. Free math problem solver answers your algebra, geometry, trigonometry, calculus,. Rearrange the equation so that it is written in.
Writing equations in slope intercept form calculator issefy
How do you find the slope and y intercept of 2x + 2y = 8? The general scaffold for the slope intercept form is y=mx+b, where m is the. Free math problem solver answers your algebra, geometry, trigonometry, calculus,. Rearrange the equation so that it is written in slope intercept form: Free math problem solver answers your algebra, geometry, trigonometry,.
50+ SlopeIntercept Form worksheets for 2nd Grade on Quizizz Free
Rearrange the equation so that it is written in slope intercept form: The general scaffold for the slope intercept form is y=mx+b, where m is the. How do you find the slope and y intercept of 2x + 2y = 8? Free math problem solver answers your algebra, geometry, trigonometry, calculus, and statistics. Free math problem solver answers your algebra,.
Slope intercept form from two points calculator szquest
How do you find the slope and y intercept of 2x + 2y = 8? The general scaffold for the slope intercept form is y=mx+b, where m is the. Free math problem solver answers your algebra, geometry, trigonometry, calculus,. Free math problem solver answers your algebra, geometry, trigonometry, calculus, and statistics. Rearrange the equation so that it is written in.
Do Now Rewrite the equation 6x 2y = 8 in slope intercept form
How do you find the slope and y intercept of 2x + 2y = 8? Free math problem solver answers your algebra, geometry, trigonometry, calculus, and statistics. Free math problem solver answers your algebra, geometry, trigonometry, calculus,. The general scaffold for the slope intercept form is y=mx+b, where m is the. Rearrange the equation so that it is written in.
How Do You Find The Slope And Y Intercept Of 2X + 2Y = 8?
Rearrange the equation so that it is written in slope intercept form: The general scaffold for the slope intercept form is y=mx+b, where m is the. Free math problem solver answers your algebra, geometry, trigonometry, calculus,. Free math problem solver answers your algebra, geometry, trigonometry, calculus, and statistics.

-Step-24-Version-2.jpg)




