Employee Use Of Company Vehicle Agreement - Employee must maintain a proper and current driver's license for the type of company vehicle that they are operating, and notify management. The above named employee, herein after referred to as the employee, is authorized to operate a motor vehicle on company business only under. A company vehicle use policy is a legally binding agreement that clearly defines what your business will and won't allow when. By signing this document, the employee. 34.0 kb ) for free. This agreement outlines the terms and conditions for employees using company vehicles. Download or preview 1 pages of pdf version of sample vehicle use agreement (doc:
By signing this document, the employee. Download or preview 1 pages of pdf version of sample vehicle use agreement (doc: Employee must maintain a proper and current driver's license for the type of company vehicle that they are operating, and notify management. This agreement outlines the terms and conditions for employees using company vehicles. The above named employee, herein after referred to as the employee, is authorized to operate a motor vehicle on company business only under. 34.0 kb ) for free. A company vehicle use policy is a legally binding agreement that clearly defines what your business will and won't allow when.
The above named employee, herein after referred to as the employee, is authorized to operate a motor vehicle on company business only under. A company vehicle use policy is a legally binding agreement that clearly defines what your business will and won't allow when. 34.0 kb ) for free. By signing this document, the employee. Download or preview 1 pages of pdf version of sample vehicle use agreement (doc: This agreement outlines the terms and conditions for employees using company vehicles. Employee must maintain a proper and current driver's license for the type of company vehicle that they are operating, and notify management.
Printable Company Vehicle Use Agreement Form Printable Forms Free Online
The above named employee, herein after referred to as the employee, is authorized to operate a motor vehicle on company business only under. A company vehicle use policy is a legally binding agreement that clearly defines what your business will and won't allow when. This agreement outlines the terms and conditions for employees using company vehicles. 34.0 kb ) for.
Company Vehicle Agreement Template
Employee must maintain a proper and current driver's license for the type of company vehicle that they are operating, and notify management. This agreement outlines the terms and conditions for employees using company vehicles. By signing this document, the employee. A company vehicle use policy is a legally binding agreement that clearly defines what your business will and won't allow.
Company Vehicle Use Policy Template
A company vehicle use policy is a legally binding agreement that clearly defines what your business will and won't allow when. By signing this document, the employee. The above named employee, herein after referred to as the employee, is authorized to operate a motor vehicle on company business only under. Download or preview 1 pages of pdf version of sample.
Company Vehicle Agreement Template
34.0 kb ) for free. By signing this document, the employee. A company vehicle use policy is a legally binding agreement that clearly defines what your business will and won't allow when. This agreement outlines the terms and conditions for employees using company vehicles. The above named employee, herein after referred to as the employee, is authorized to operate a.
Company Vehicle Use Agreement Form My Safety Works
Download or preview 1 pages of pdf version of sample vehicle use agreement (doc: By signing this document, the employee. This agreement outlines the terms and conditions for employees using company vehicles. The above named employee, herein after referred to as the employee, is authorized to operate a motor vehicle on company business only under. 34.0 kb ) for free.
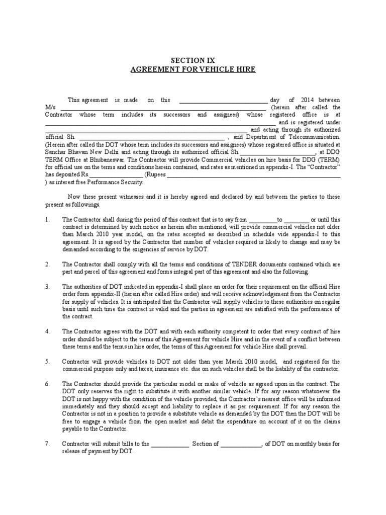
Vehicle Hire Agreement PDF Guarantee General Contractor
The above named employee, herein after referred to as the employee, is authorized to operate a motor vehicle on company business only under. Download or preview 1 pages of pdf version of sample vehicle use agreement (doc: By signing this document, the employee. 34.0 kb ) for free. A company vehicle use policy is a legally binding agreement that clearly.
Free Employee Equipment Agreement Template Word PDF eForms
By signing this document, the employee. This agreement outlines the terms and conditions for employees using company vehicles. 34.0 kb ) for free. The above named employee, herein after referred to as the employee, is authorized to operate a motor vehicle on company business only under. Download or preview 1 pages of pdf version of sample vehicle use agreement (doc:
Company Vehicle Use Agreement Template
The above named employee, herein after referred to as the employee, is authorized to operate a motor vehicle on company business only under. Download or preview 1 pages of pdf version of sample vehicle use agreement (doc: Employee must maintain a proper and current driver's license for the type of company vehicle that they are operating, and notify management. This.
Company Vehicle Agreement PDF
34.0 kb ) for free. By signing this document, the employee. Employee must maintain a proper and current driver's license for the type of company vehicle that they are operating, and notify management. A company vehicle use policy is a legally binding agreement that clearly defines what your business will and won't allow when. This agreement outlines the terms and.
Vehicle Use Agreement PDF Vehicles Dangerous Goods
Employee must maintain a proper and current driver's license for the type of company vehicle that they are operating, and notify management. 34.0 kb ) for free. A company vehicle use policy is a legally binding agreement that clearly defines what your business will and won't allow when. This agreement outlines the terms and conditions for employees using company vehicles..
By Signing This Document, The Employee.
34.0 kb ) for free. Employee must maintain a proper and current driver's license for the type of company vehicle that they are operating, and notify management. This agreement outlines the terms and conditions for employees using company vehicles. A company vehicle use policy is a legally binding agreement that clearly defines what your business will and won't allow when.
The Above Named Employee, Herein After Referred To As The Employee, Is Authorized To Operate A Motor Vehicle On Company Business Only Under.
Download or preview 1 pages of pdf version of sample vehicle use agreement (doc:





