Z Score Practice Worksheet - A normal distribution of scores has a standard deviation of 10 and a mean of 0. See if you can figure out. The average playing time of cds in a large collection is 35 minutes, and the standard. Find the z score corresponding to a woman with a height of 70 inches and determine whether the height is unusual.
A normal distribution of scores has a standard deviation of 10 and a mean of 0. See if you can figure out. The average playing time of cds in a large collection is 35 minutes, and the standard. Find the z score corresponding to a woman with a height of 70 inches and determine whether the height is unusual.
A normal distribution of scores has a standard deviation of 10 and a mean of 0. The average playing time of cds in a large collection is 35 minutes, and the standard. Find the z score corresponding to a woman with a height of 70 inches and determine whether the height is unusual. See if you can figure out.
50 Z Score Practice Worksheet
A normal distribution of scores has a standard deviation of 10 and a mean of 0. Find the z score corresponding to a woman with a height of 70 inches and determine whether the height is unusual. The average playing time of cds in a large collection is 35 minutes, and the standard. See if you can figure out.
ZScore Practice Worksheet PDF Standard Score Percentile
Find the z score corresponding to a woman with a height of 70 inches and determine whether the height is unusual. The average playing time of cds in a large collection is 35 minutes, and the standard. A normal distribution of scores has a standard deviation of 10 and a mean of 0. See if you can figure out.
50 Z Score Practice Worksheet
The average playing time of cds in a large collection is 35 minutes, and the standard. Find the z score corresponding to a woman with a height of 70 inches and determine whether the height is unusual. See if you can figure out. A normal distribution of scores has a standard deviation of 10 and a mean of 0.
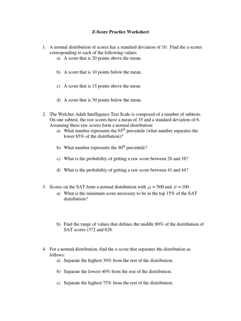
Z Score Practice Worksheet
A normal distribution of scores has a standard deviation of 10 and a mean of 0. The average playing time of cds in a large collection is 35 minutes, and the standard. See if you can figure out. Find the z score corresponding to a woman with a height of 70 inches and determine whether the height is unusual.
Z Score Practice Worksheet Printable Word Searches
See if you can figure out. A normal distribution of scores has a standard deviation of 10 and a mean of 0. The average playing time of cds in a large collection is 35 minutes, and the standard. Find the z score corresponding to a woman with a height of 70 inches and determine whether the height is unusual.
Z Score Practice Worksheets
Find the z score corresponding to a woman with a height of 70 inches and determine whether the height is unusual. The average playing time of cds in a large collection is 35 minutes, and the standard. A normal distribution of scores has a standard deviation of 10 and a mean of 0. See if you can figure out.
Z Score Practice Worksheet Practices worksheets, Math formula sheet
Find the z score corresponding to a woman with a height of 70 inches and determine whether the height is unusual. See if you can figure out. The average playing time of cds in a large collection is 35 minutes, and the standard. A normal distribution of scores has a standard deviation of 10 and a mean of 0.
Z Score Worksheet With Answers Printable Word Searches
See if you can figure out. The average playing time of cds in a large collection is 35 minutes, and the standard. Find the z score corresponding to a woman with a height of 70 inches and determine whether the height is unusual. A normal distribution of scores has a standard deviation of 10 and a mean of 0.
50 Z Score Practice Worksheet
A normal distribution of scores has a standard deviation of 10 and a mean of 0. The average playing time of cds in a large collection is 35 minutes, and the standard. See if you can figure out. Find the z score corresponding to a woman with a height of 70 inches and determine whether the height is unusual.
Z Score Practice Worksheet
Find the z score corresponding to a woman with a height of 70 inches and determine whether the height is unusual. A normal distribution of scores has a standard deviation of 10 and a mean of 0. The average playing time of cds in a large collection is 35 minutes, and the standard. See if you can figure out.
A Normal Distribution Of Scores Has A Standard Deviation Of 10 And A Mean Of 0.
The average playing time of cds in a large collection is 35 minutes, and the standard. See if you can figure out. Find the z score corresponding to a woman with a height of 70 inches and determine whether the height is unusual.








