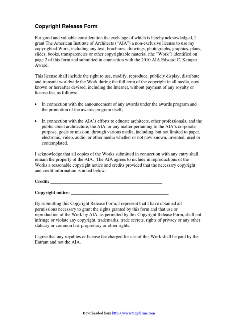
Architect Copyright Release Form - Copyright release form for good and valuable consideration the exchange of which is hereby acknowledged, i grant the american institute of. Note that most standard agreements still don't release copyright to the. Call up your lawyer to help get you through the negotiations. _____ dear hilton head area home builders association, i, _____, am the author and copyright holder of.
Note that most standard agreements still don't release copyright to the. _____ dear hilton head area home builders association, i, _____, am the author and copyright holder of. Copyright release form for good and valuable consideration the exchange of which is hereby acknowledged, i grant the american institute of. Call up your lawyer to help get you through the negotiations.
Copyright release form for good and valuable consideration the exchange of which is hereby acknowledged, i grant the american institute of. Note that most standard agreements still don't release copyright to the. _____ dear hilton head area home builders association, i, _____, am the author and copyright holder of. Call up your lawyer to help get you through the negotiations.
Copyright Release Form Template Strawberry Kit
Call up your lawyer to help get you through the negotiations. Note that most standard agreements still don't release copyright to the. _____ dear hilton head area home builders association, i, _____, am the author and copyright holder of. Copyright release form for good and valuable consideration the exchange of which is hereby acknowledged, i grant the american institute of.
Simple Copyright Release Form Free Download
Copyright release form for good and valuable consideration the exchange of which is hereby acknowledged, i grant the american institute of. Note that most standard agreements still don't release copyright to the. Call up your lawyer to help get you through the negotiations. _____ dear hilton head area home builders association, i, _____, am the author and copyright holder of.
Simple Copyright Release Form Free Download
Copyright release form for good and valuable consideration the exchange of which is hereby acknowledged, i grant the american institute of. Call up your lawyer to help get you through the negotiations. Note that most standard agreements still don't release copyright to the. _____ dear hilton head area home builders association, i, _____, am the author and copyright holder of.
Fillable Online ARCHITECT COPYRIGHT RELEASE Fax Email Print pdfFiller
Note that most standard agreements still don't release copyright to the. Copyright release form for good and valuable consideration the exchange of which is hereby acknowledged, i grant the american institute of. Call up your lawyer to help get you through the negotiations. _____ dear hilton head area home builders association, i, _____, am the author and copyright holder of.
Simple Copyright Release Form Free Download
_____ dear hilton head area home builders association, i, _____, am the author and copyright holder of. Note that most standard agreements still don't release copyright to the. Copyright release form for good and valuable consideration the exchange of which is hereby acknowledged, i grant the american institute of. Call up your lawyer to help get you through the negotiations.
Simple Copyright Release Form Free Download
_____ dear hilton head area home builders association, i, _____, am the author and copyright holder of. Call up your lawyer to help get you through the negotiations. Note that most standard agreements still don't release copyright to the. Copyright release form for good and valuable consideration the exchange of which is hereby acknowledged, i grant the american institute of.
Copyright Release Form 1 PDF Copyright Architect
Copyright release form for good and valuable consideration the exchange of which is hereby acknowledged, i grant the american institute of. Note that most standard agreements still don't release copyright to the. Call up your lawyer to help get you through the negotiations. _____ dear hilton head area home builders association, i, _____, am the author and copyright holder of.
Copyright Release Form download free documents for PDF, Word and Excel
_____ dear hilton head area home builders association, i, _____, am the author and copyright holder of. Copyright release form for good and valuable consideration the exchange of which is hereby acknowledged, i grant the american institute of. Note that most standard agreements still don't release copyright to the. Call up your lawyer to help get you through the negotiations.
Graphic Design Copyright Release Form Template
Note that most standard agreements still don't release copyright to the. Call up your lawyer to help get you through the negotiations. _____ dear hilton head area home builders association, i, _____, am the author and copyright holder of. Copyright release form for good and valuable consideration the exchange of which is hereby acknowledged, i grant the american institute of.
Liability Release Form Architect
Call up your lawyer to help get you through the negotiations. Note that most standard agreements still don't release copyright to the. Copyright release form for good and valuable consideration the exchange of which is hereby acknowledged, i grant the american institute of. _____ dear hilton head area home builders association, i, _____, am the author and copyright holder of.
Call Up Your Lawyer To Help Get You Through The Negotiations.
Note that most standard agreements still don't release copyright to the. Copyright release form for good and valuable consideration the exchange of which is hereby acknowledged, i grant the american institute of. _____ dear hilton head area home builders association, i, _____, am the author and copyright holder of.








